반응형
회전운동-고정축에 대한 운동
-제어 시스템에서 만나는 대부분의 응용에서, 물체의 회전 운동은 고정 축(fixed axis)에 대한 운동으로 정의될 수 있음
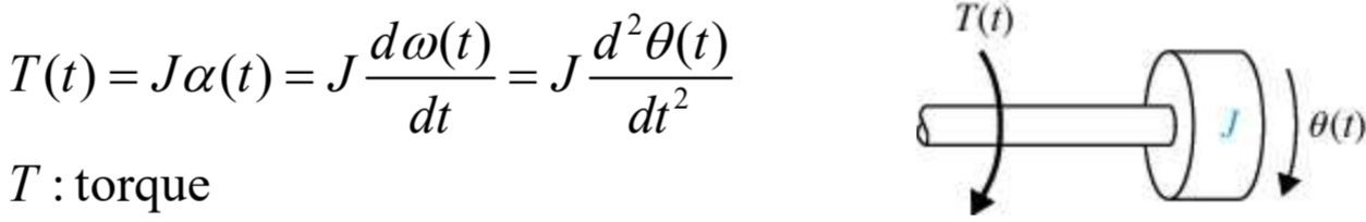
-뉴턴의 회전 운동에 대한 제 2법칙은 고정된 축에 대한 관성 J의 강체에 가해지는 외부 모멘트의 대수적인 합은 그 축에 대한 각가속도를 만들어 낸다는 것을 의미

1)관성(inertia) : 회전운동의 운동에너지를 축적하는 요소

2)비틀림 스프링(torsional spring) : 위치에너지를 축적하는 요소

3)회전운동 점성 댐핑(viscous damping for rotational motion) : 두 물리적 요소 사이에 회전 움직임이 있을 때 존재

비틀림 부하가 걸려 있는 막대(회전운동)

모터-부하 시스템(회전운동)

'이세계에서 시작하는 제어공학' 카테고리의 다른 글
| 2.3장_동적시스템의 모델링(단순한 전기시스템의 모델링) (0) | 2024.01.17 |
|---|---|
| 2.1장_동적시스템의 모델링(병진운동) (0) | 2024.01.17 |
| 1장_제어시스템 소개 (0) | 2024.01.09 |
| 0장_제어공학을 시작하며 (0) | 2024.01.09 |